Ньютон, как ученый и личность. Семья и детство
- Ньютон, как ученый и личность. Семья и детство
- Исаак ньютон книги. Ньютон Исаак. Книги онлайн
- Законы Ньютона. Третий закон Ньютона
- Исаак ньютон открытия. Какие открытия сделал Ньютон?
- Ньютон это. Ньютон (единица измерения)
- Исаак ньютон краткая биография. Краткая биография Исаака Ньютона для школьников 1-11 класса. Кратко и только самое главное
- Видео исаак Ньютон. Великое и смешное. (рус.) Исторические личности
Ньютон, как ученый и личность. Семья и детство
Исаак Ньютон появился на свет 4 января 1643 года в небольшой британской деревушке Вулсторп, располагавшейся на территории графства Линкольншир. Его отец был из небогатых крестьян, которые волею случая нажили землю и благодаря этому преуспели. Но до рождения Исаака его отец не дожил — и умер за несколько недель до этого. Мальчика назвали в его честь.

Исаак Ньютон в детстве
Когда Ньютону было три года, его мать снова вышла замуж — за почти втрое старшего за себя богатого фермера. После рождение ещё троих детей в новом браке, Исааком начал заниматься брат его матери — Уильям Эйскоу. Но дать хоть какое-либо образование дядя Ньютону не мог, поэтому мальчик был предоставлен сам себе — играл собственноручно сделанными механическими игрушками, кроме того он был немного замкнутым.
Новый муж матери Исаака прожил с ней всего семь лет и умер. Половина наследства досталась вдове, и та сразу переписала всё на Исаака. Несмотря на то, что мать вернулась домой, внимания мальчику она почти не уделяла, поскольку младшие дети требовали его ещё больше, а помощниц у неё не было.
Двенадцатилетним Ньютон пошёл учиться в школу в соседнем городке Грэнтем. Чтобы каждый день не возвращаться несколько миль домой, его поселили в доме у местного аптекаря мистера Кларка. В школе мальчик «расцвёл»: он жадно хватался за новые знания, учителя были в восторге от его ума и способностей. Но уже через четыре года матери потребовался помощник и она решила, что 16-летний сын вполне сможет справиться с фермой.

Но даже вернувшись домой, Исаак не спешит решать хозяйственные проблемы, а читает книги, пишет стихи и продолжает заниматься придумыванием различных механизмов. Поэтому знакомые обратились к его матери, чтобы та вернула парня в школу. Был среди них и преподаватель Тринити-колледжа, знакомый того самого аптекаря, у которого Исаак жил во время учёбы. Общими усилиями Ньютон поехал поступать в Кембридж.
Исаак ньютон книги. Ньютон Исаак. Книги онлайн
Исаа́к Нью́тон (или Ньюто́н, англ. Sir Isaac Newton, 25 декабря 1642 года — 20 марта 1727 года по юлианскому календарю, действовавшему в Англии до 1752 года; или 4 января 1643 года — 31 марта 1727 года по григорианскому календарю) — английский физик, математик, механик и астроном, один из создателей классической физики.
Автор фундаментального труда «Математические начала натуральной философии», в котором он изложил закон всемирного тяготения и три закона механики, ставшие основой классической механики. Разработал дифференциальное и интегральное исчисления, теорию цвета, заложил основы современной физической оптики, создал многие другие математические и физические теории.
Отец его умер еще до рождения сына, а мать, выйдя замуж во второй раз, оставила Ньютона на попечении бабушки. Он рос необщительным мальчиком, поначалу в школе учился очень плохо и часто становился объектом для насмешек одноклассников. Но упорство в учении позволило ему вскоре стать одним из успевающих учеников, и отношение к нему изменилось. Больше всего Ньютона интересовала техника и математика.
В 1660 году Ньютон поступил в Кембридж, который окончил в 1665 году со званием магистра искусств. В 1669-1701 годах он возглавлял физико-математическую кафедру Кембриджского университета. В 1696-м получил должность смотрителя, а в 1699 году — директора Монетного двора в Лондоне, где провел большую работу по перечеканке монет, а также приложил много усилий для упорядочения всего монетного дела Англии. В этот же период Ньютон занимался и наукой, сформулировал три закона механики, закон всемирного тяготения, создал телескоп-рефлектор, проводил опыты по разложению света. Разработал дифференциальное и интегральное исчисления, теорию цвета и многие другие математические и физические теории.
Открытые Ньютоном основы механики всех физических тел и явлений — от небесных тел до распространения звука — определили развитие физики как науки на много веков вперед. Научное творчество Ньютона сыграло исключительно важную роль в истории развития физики. В его честь названа единица силы в Международной системе единиц — ньютон.
Сам Ньютон достаточно скромно отзывался о своих открытиях, считая их подготовленными его предшественниками. Широко известна его фраза: «Если я видел дальше других, то потому, что стоял на плечах гигантов».
Ньютон был президентом Лондонского Королевского общества с 1703 года. В 1705 году королева Анна возвела его в рыцарское звание. Он является автором фундаментального труда «Математические начала натуральной философии», в котором он изложил закон всемирного тяготения и три закона механики, ставшие основой классической механики.
Скончался великий ученый Исаак Ньютон в 1727 году в своем доме в Кенсингтоне (сегодня — часть Лондона) и похоронен в Вестминстерском аббатстве.
Ежегодно в день рождения великого англичанина научное сообщество отмечает День Ньютона.
Законы Ньютона. Третий закон Ньютона
Известно, что при взаимодействии оба тела воздействуют друг на друга. Не бывает такого, чтобы одно тело толкнуло другое, а второе в ответ никак не отреагировало бы.
Проведем эксперимент. Возьмем два динамометра (рис. 1). Один из них наденем колечком на что-то неподвижное, например на гвоздь в стене, а второй соединим с первым крючками. Потянем за колечко второго динамометра. Оба прибора покажут одинаковые по модулю силы натяжения.

Рис. 1. Опыт с динамометрами
Другой пример. Представьте, что вы и ваш друг катаетесь на скейте, причем друг катается на одном скейте с братом (рис. 2).

Рис. 2. Приобретение ускорения при взаимодействии
Ваша масса –, масса друга с братом –. Если вы отталкиваетесь друг от друга, то приобретаете ускорения, которые направлены по одной прямой в противоположные стороны. Отношение масс участников этого процесса обратно пропорционально отношению модулю ускорений.
Следовательно:
Согласно второму закону Ньютона:
– сила, с которой на вас действует друг с братом
– сила, с которой вы действуете на друга с братом
Так как ускорения противонаправленные, то:
Данное равенство выражает третий закон Ньютона : тела действуют друг на друга с силами, которые имеют одинаковые модули и противоположные направления (рис. 3).
Рис. 3. Третий закон Ньютона
Основной экспериментальный закон динамики
При выводе третьего закона Ньютона мы видели, что при взаимодействии двух тел отношение двух ускорений, которые приобретает первое и второе тело, является величиной постоянной. Причем отношение этих ускорений не зависит от характера взаимодействия (рис. 4), следовательно, оно определяется самими телами, какой-то его характеристикой.
Рис. 4. Отношение ускорений не зависит от характера взаимодействия
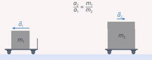
Такая характеристика называется инертностью . Мерой инертности является масса. Поэтому отношение ускорений, приобретаемых телами в результате взаимодействия друг с другом, равно обратному отношению масс этих тел. Этот факт иллюстрирует эксперимент, в котором две тележки с разными массами () отталкиваются друг от друга с помощью упругой пластинки (рис. 5). В результате такого взаимодействия большее ускорение приобретет тележка с меньшей массой.

Рис. 5. Взаимодействие двух тел с разными массами

Рис. 6. Основной экспериментальный закон динамики
Закон, который описывает соотношение масс тел и ускорений, приобретенных в результате взаимодействия, называется основным экспериментальным законом динамики (рис. 6).
Более простая формулировка третьего закона Ньютона звучит так: сила действия равна силе противодействия.
Сила действия и сила противодействия – это всегда силы одной природы. Например, в предыдущем опыте сила действия первого динамометра на второй и сила действия второго динамометра на первый – это силы упругости; силы действия одного заряженного тела на другое и наоборот – это силы электрической природы.
Каждая из сил взаимодействия приложена к разным телам. Следовательно, силы взаимодействия между телами не могут компенсировать друг друга, хотя формально:
Рис. 7. Парадокс равнодействующей силы
Продемонстрируем опыт, который подтверждает третий закон Ньютона. До начала опыта весы находятся в равновесии: силы, действующие слева, равны всем силам, действующим справа (рис. 8).

Исаак ньютон открытия. Какие открытия сделал Ньютон?
Цельная картина мира, созданная великим английским ученым Исааком Ньютоном, до сих пор поражает ученых. Заслуга Ньютона в том, что открытым им законам подчиняются как громадные небесные тела, так и мельчайшие песчинки, гонимые ветром.
Исаак Ньютон родился в Англии 4 января 1643 года. В 26 лет он стал профессором математики и физики и 27 лет занимался преподаванием. В первые годы своей научной деятельности он заинтересовался оптикой, где сделал немало открытий. Им был собственноручно изготовлен первый зеркальный телескоп, который увеличивал в 40 раз (по тем временам величина немалая).
С 1676 года Ньютон занялся изучением механики. Основные открытия в этой области ученый изложил в монументальном труде «Математические начала натуральной философии». В «Началах» было рассказано все, что было известно о простейших формах движения материи. Учение Ньютона о пространстве, массе и силе имело огромное значение для дальнейшего развития физики. Только открытия 20 века, в особенности Эйнштейна, показали ограниченность законов, на которых была построена теория классической механики Ньютона. Но несмотря на это, классическая механика не потеряла своего практического значения.
Исаак Ньютон изложил закон всемирного тяготения и три закона механики, ставшие основой классической механики. Он дал теорию движения небесных тел, создав основы небесной механики. Он разработал дифференциальное и интегральное исчисление, сделал много открытий в науке оптике и теории цвета, разработал ряд других математических и физических теории. Научные труды Ньютона намного опередили общий научный уровень его времени, и поэтому многие из них были малопонятны современникам. Многие его гипотезы и предсказания оказались пророческими, например, отклонение света в поле тяготения, явление поляризации света, взаимопревращение света и вещества, гипотеза о сплюснутости Земли у полюсов и др.
На могиле великого ученого высечены следующие слова:
«Здесь покоится
Сэр Исаак Ньютон,
Который почти божественной силой своего ума
Впервые объяснил
Помощью своего математического метода
Движения и формы планет,
Пути комет, приливы и отливы океана.
Он первый исследовал разнообразие световых лучей
И проистекающие отсюда особенности цветов,
Каких до того времени никто даже не подозревал.
Прилежный, проницательный и верный истолкователь
Природы, древностей и священного писания,
Он прославил в своем учении Всемогущего Творца.
Требуемую Евангелием простоту он доказал своей жизнью.
Пусть смертные радуются, что в их среде
Жило такое украшение человеческого рода.
Родился 25 декабря 1642 года
Умер 20 марта 1727 года».
Ньютон это. Ньютон (единица измерения)
1 ньютон равен силе, сообщающей телу массой 1 кг ускорение 1 м /с2в направлении действия силы. Таким образом, 1 Н = 1 кг·м/с2.
Единица названа в честь английского физика Исаака Ньютона .
1 Н = 105 дин .
Десятичные кратные и дольные единицы образуют с помощью стандартных приставок СИ .
| Кратные | Дольные | ||||||
|---|---|---|---|---|---|---|---|
| величина | название | обозначение | величина | название | обозначение | ||
| 101Н | деканьютон | даН | daN | 10−1Н | дециньютон | дН | dN |
| 102Н | гектоньютон | гН | hN | 10−2Н | сантиньютон | сН | cN |
| 103Н | килоньютон | кН | kN | 10−3Н | миллиньютон | мН | mN |
| 106Н | меганьютон | МН | MN | 10−6Н | микроньютон | мкН | µN |
| 109Н | гиганьютон | ГН | GN | 10−9Н | наноньютон | нН | nN |
| 1012Н | тераньютон | ТН | TN | 10−12Н | пиконьютон | пН | pN |
| 1015Н | петаньютон | ПН | PN | 10−15Н | фемтоньютон | фН | fN |
| 1018Н | эксаньютон | ЭН | EN | 10−18Н | аттоньютон | аН | aN |
| 1021Н | зеттаньютон | ЗН | ZN | 10−21Н | зептоньютон | зН | zN |
| 1024Н | йоттаньютон | ИН | YN | 10−24Н | йоктоньютон | иН | yN |
| применять |
- Земля притягивает яблоко массой 102 г с силой 1 Н (с такой же силой неподвижное, лежащее на земле яблоко давит землю).
- На поверхности земли Земли тело массой 1 кг давит на опору с силой примерно 9,8 Н, таким образом 1 кг примерно соответствует 10 Н. Такое округление используется в обиходе и в инженерных расчётах, не требующих особой точности.
- Земное тяготение для человека массой 70 кг составляет 686 Н.
Исаак ньютон краткая биография. Краткая биография Исаака Ньютона для школьников 1-11 класса. Кратко и только самое главное
Главная > Биографии известных людей
Исаак Ньютон краткая биография
Исаак Ньютон – великий английский ученый, физик, математик, алхимик и астроном, внесший большой вклад в становление классической механики и современной физики. Наиболее известным открытием Ньютона стал закон всемирного тяготения. Помимо этого он описал все физические явления на основе механики и объяснил движение планет вокруг Солнца и Луны вокруг Земли.
Исаак Ньютон родился 4 января 1643 года в местечке Вулсторп в Англии в семье мелкого, но зажиточного фермера. Получив основное школьное образование, Ньютон поступил в колледж Святой Троицы при Кембриджском университете. Там, под влиянием физиков, он сделал несколько открытий, в основном математических. Также, он начал проводить опыты над разложением света. В 1668 году ему была присвоена степень магистра. Через несколько лет он второй зеркальный телескоп, который был гораздо больше предыдущего и эффективнее. В 1687 году был опубликован его фундаментальный труд «Математические начала натуральной философии» или просто «Начала», который заложил основы не только рациональной механики, но и всего математического естествознания. В этом труде содержались закон динамики, всемирного тяготения, приложения о движении небесных тел, учения о сопротивлении жидкостей и газов.
В 1705 году Исааку Ньютону было предложено рыцарское звание. Так, правившая в те времена, королева Анна отблагодарила великого ученого за его труды. На склоне лет, Ньютон проводил много времени над изучением теологии, античной и библейской истории.
Исаак Ньютон умер 30 марта 1727 году и был похоронен в Вестминстерском Аббатстве – английском национальном пантеоне.